Hey kamu yang baru jadi kelas XI. Sekarang di mata pelajaran fisika bab pertama yang dipelajari adalah bab dinamika rotasi dan kesetimbangan benda tegar. Ngapain aja sih, simak ringkasan materi dan 40 contoh soal dinamika rotasi dan kesetimbangan benda tegar. Biar ga bingung kamu juga bisa liat-liat di daftar isinya yah.
DAFTAR ISI
Rangkuman Materi Dinamika Rotasi dan Kesetimbangan Benda Tegar Kelas 11
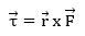
Momen Gaya
Momen gaya merupakan salah satu bentuk usaha dengan salah satu titik sebagai titik acuan. Momen gaya merupakan hasil kali gaya dan jarak terpendek arah garis kerja terhadap titik tumpu. Momen gaya sering disebut dengan momen putar atau torsi, diberi lambang τ (dibaca: tau).
τ = F . d
Satuan dari momen gaya atau torsi ini adalah N . m atau joule.
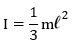
Momen Inersia Benda Tegar
Momen inersia yaitu ukuran kelembapan suatu benda untuk berputar. Rumusannya yaitu sebagai berikut:
I = mr2
Keterangan:
I = momen inersia benda tegar(kg m2)
m = massa benda (kg)
r = jarak massa ke sumbu putar (m)
Momen inersia bergantung pada :
- Bentuk benda
- Massa benda
- Letak sumbu putar
Jika terdapat banyak partikel maka momen inersia totalnya dapat dirumuskan sebagai berikut:

Momen inersia benda tegar dapat dihitung menggunakan teknik integral dengan persamaan :
Untuk benda-benda yang beraturan bentuknya, momen inersianya dapat ditentukan sesuai dengan tabel :

Momen inersia benda terhadap sembarang sumbu rotasi yang paralel dengan sumbu pusat massa menggunakan teorema sumbu paralel.
I = Ipm + Md2
Keterangan :
I = momen inersia (kg m2)
Ipm = momen inersia pusat massa (kg m2)
M = massa benda (kg)
d = jarak sumbu rotasi ke pusat massa (m)
Momentum Sudut
Momentum sudut merupakan hasil kali antara momen inersia dan kecepatan sudut. Dirumuskan sebagai berikut:
L = I.ω
Keterangan :
L = momentum sudut (kg m2 rad/s)
I = momen inersia (kg m2)
ω = kecepatan sudut (rad/s)
Hubungan Momen Gaya dan Percepatan Sudut
Hubungan antara momen gaya dengan percepatan sudut memenuhi persamaan Hukum II Newton pada gerak translasi. Pada gerak rotasi, berlaku hubungan
τ = I . α
Keterangan:
τ = momen gaya (Nm)
I = momen inersia ( kg m2)
α = percepatan sudut (rad/s2)
Energi Kinetik Sudut
Yaitu energi kinetik yang dimiliki oleh benda yang berotasi, dirumuskan sebagai berikut:
EKrot = ½ I.ω2
Keterangan:
EKrot = energi kinetik rotasi (joule)
I = momen inersia (kg m2)
ω = kecepatan sudut (rad/s)
Gabungan Energi Kinetik
Ketika benda menggelinding maka benda memiliki kecepatan linier v untuk bergerak translasi dan kecepatan sudut untuk bergerak rotasi. Besar energi kinetik totalnya dirumuskan sebagai berikut:
EK = EKtrans + EKrot
EK = mv2 + Iω
Keterangan:
EK = energi kinetik (joule)
EKrot = energi kinetik rotasi ( joule )
EKtrans = energi kinetik transiasi (joule)
I = momen inersia (kg m2)
= kecepatan sudut (rad/s)
m = massa benda (kg)
v = kecepatan linier (m/s)
Hukum Kekekalan Momentum Sudut
Dijelaskan bahwa apabila tidak ada momentum gaya yang bekerja pada sistem, maka momentum sudut akan konstan.
L1 = L2
I1 ⍵1 = I2 ⍵2
Keterangan:
L1 = momentum sudut awal (kg m2 rad/s)
I1 = momen inersia awal (kg m2)
⍵1 = kecepatan sudut awal (rad/s)
L2 = momentum sudut akhir (kg m2 rad/s)
I2 = momen inersia akhir (kg m2)
⍵2 = kecepatan sudut akhir (rad/s)
Dinamika Rotasi
Jika benda dalam keadaan diam atau setimbang dan bergerak kelajuan konstan maka berlaku:
ΣF = 0 dan Στ = 0
Namun jika benda bergerak dengan percepatan tetap maka,
ΣF = m a dan Στ = I. α
Titik Berat Benda
Titik Berat Benda adalah titik tangkap gaya berat benda dimana dipengaruhi oleh medan magnet.
Keterangan :
X0 = letak titik benda pada sumbu x
Wn = berat benda ke-n
Xn = letak titik berat benda ke-n pada sumbu x
Y0 = letak titik berat benda ke sumbu y
Yn = letak titik berat benda ke-n pada sumbu y
Untuk nilai percepatan gravitasi g yang dapat dianggap konstan,maka titik pusat massa dirumuskan sebagai berikut:
Keterangan :
Xpm = pusat massa benda pada sumbu x
mn = massa benda ke-n
xn = pusat massa benda ke-n pada sumbu x
Ypm = pusat massa benda pada sumbu y
yn = pusat massa benda ke-n pada sumbu y
Titik berat benda homogen :
- Benda berbentuk ruang ( dimensi tiga)
Keterangan:
x0 = titik berat benda pada sumbu x
Vn = volume benda ke-n
xn = titik berat benda ke-n pada sumbu x
Y0 = titik berat benda pada sumbu y
Yn = titik berat benda ke-n pada sumbu y
- Benda berbentuk luasan (dimensi dua)
Keterangan:
X0 = titik berat benda pada sumbu x
An = luas benda ke-n
Xn = titik berat benda ke-n pada sumbu x
Y0 = titik berat benda pada dumbu y
Yn = titik berat benda ke-n pada sumbu y
- Benda berbentuk garis (dimensi satu)
Keterangan:
X0 = titik berat benda pada sumbu x
In = panjang benda ke-n
Xn = titik berat benda ke-n pada sumbu x
Y0 = titik berat benda pada sumbu y
Yn = titik berat benda ke-n pada sumbu y
Titik Berat Benda Teratur
Titik berat bentuk teratur linear

Titik berat benda teratur berbentuk luas bidang homogen

Titik berat benda teratur berbentuk bidang ruang homogen

37 Contoh Soal Dinamika Rotasi dan Kesetimbangan Benda Tegar Kelas XI

- 3,0 rad/s2
- 3,5 rad/s2
- 4,0 rad/s2
- 4,5 rad/s2
- 5,0 rad/s2
PEMBAHASAN :
Menggambarkan gaya – gaya yang terlibat pada benda
Momen gaya τ = F R Sin θ
Dengan ketentuan: Searah jarum jam negatif, berlawanan jarum jam positif
Jumlah Momen gaya pada titik A (gaya di titik itu bernilai τN = 0)
Στ = τF + τW
Στ = F R sin θF – w R sin θw
Στ = F R sin θ – w R sin (90 – θ)
Στ = F R sin θ – w R Cos θ
Dari soal:
tan θ = ¾ maka sin θ = 3/5 dan cos θ = 4/5
m = 5 kg maka w = 50 N
F = 90 N
R = 0,5 meter
Στ = F R sin θ – w R Cos θ
Στ = 90 0,5 3/5 – 50 0,5 4/5
Στ = 27 – 20
Στ = 7 Nm
Hubungan dengan momen inersia, I
Στ = I α
7 = 2α
α = 3,5 rad/s2
Jawaban B
- 0,24 kg.m2
- 0,27 kg.m2
- 0,30 kg.m2
- 0,31 kg.m2
- 0,35 kg.m2
PEMBAHASAN :
Diketahui:
r1 = 0,2 m
r2 = 0,3 m
Menentukan momen inersia total
I=m1 r12+ m2 r12
I=2(0,2)2 +3(0,3)2
I=0,08+0,27
I=0,35 kg.m2
Jawaban : E

- 4 mgh
- 2 mgh
- mgh
- mgh/2
- mgh/4
PEMBAHASAN :
Untuk menyelesaikan soal tersebut perhatikan gambar berikut!


Jawaban : D

- 15 N.m
- 18 N.m
- 35 N.m
- 53 N.m
- 68 N.m
PEMBAHASAN :


Jawaban : D

- 2g/5d
- 3g/5d
- 4g/5d
- 6g/5d
- g/d
PEMBAHASAN :

Jawaban : C
Sebuah katrol dari sebuah pejal dengan tali yang dililitkan pada sisi luarnya ditampilkan seperti gambar.

Gesekan katrol diabaikan. Jika momen inersia katrol I = β dan tali ditarik Dengan gaya tetap F maka nilai F setara dengan…
- F = α. Β.R
- F = α. Β2.R
- F = α. (Β.R)-1
- F = α. Β.(R)-1
- F = (α. Β)-1.R
PEMBAHASAN :
Menentukan gaya F dari persamaan torsi:
τ = I α = F. R
Karena I = β, maka
R . F = α. β
F = α. β.(R)-1
Jawaban : D

- 1 m/s
- √2 m/s
- 2 m/s
- √6 m/s
- 4 m/s
PEMBAHASAN :


Jawaban : A

- 4,5 cm
- 4 cm
- 3,5 cm
- 3 cm
- 2 cm
PEMBAHASAN :
Gambar di bagi menjadi dua bagian


Jawaban : E

- Mg
- 2Mg/3
- Mg/2
- Mg/3
- Mg/4
PEMBAHASAN :

Jawaban : D

- 3/4 m kg
- 3/2 m kg
- 2 m kg
- 3 m kg
- 4 m kg
PEMBAHASAN :

Jawaban : C

- 8,0 kN
- 7,5 kN
- 7,0 kN
- 6,5 kN
- 6,0 kN
PEMBAHASAN :

Titik berat papan yaitu di titik O, dimana titik O = ½ x panjang papan = ½ x 4 m = 2m
AB = 0,5 m
BC = 3 m,
OB = 1 m,
berat papan Wp= 500 N,
berat orang W= 103 N
sumbu rotasi yaitu titik B, syarat kesetimbangan adalah:
∑τ=0
AB. NA - OB.Wp -BC.W=0
0,5. NA - 1(500)- 3(1.000)=0
NA = 7.000 N = 7,0 kN
Jawaban : C
- 36 N
- 48 N
- 50 N
- 65 N
- 80 N
PEMBAHASAN :


Jawaban : D
- 1.250N
- 2.500N
- 3.750N
- 3.750N
- 6.250N
PEMBAHASAN :

Diketahui :
XY = 2 m
PY = 0,5 m
PX = 1,5 m
W = m.g = 1.500 x 10 = 15.000 N
Syarat kesetimbangan :
∑τ=0
W(PY) - Nx(AB)=0
15.000(0,5)- Nx (2) = 0
Nx = 3.750 N
Jawaban : C
- 12,5 m
- 10 m
- 7,5 m
- 5 m
- 2,5 m
PEMBAHASAN :

Jawaban : A

Sistem berputar dengan kecepatan sudut ω ketika kedua masa m berjarak sejauh R dari sumbu. Masa secara simultan ditarik sejauh R/2 mendekati sumbu oleh gaya yang arah nya sepanjang batang. Berapakah kecepatan sudut baru sistem?
- ω/4
- ω/2
- ω
- 2ω
- 4ω
PEMBAHASAN :

Jawaban : E
Sebuah tangga homogen dengan panjang L diam bersandar pada tembok yang licin di atas lantai yang kasar dengan koefisien gesekan statis antara lantai dan tangga adalah μ. Jika tangga membentuk sudut θ tepat saat akan tergelincir, besar sudut θ adalah….
- tan θ = 2μ
- cos θ = μ
PEMBAHASAN :
Syarat setimbang pada keadaan diam
ΣF = 0
Sumbu x
ΣFx = 0
NB − fs = 0
NB = μ. NA ………. persamaan 1
Sumbu y
ΣFy = 0
NA − W = 0
NA = W ……….persamaan 3
Kesetimbangan rotasi, Στ = 0 berporos di A
½ L cos θ. W − L sin θ. NB = 0……persamaan 3
Substitusi persamaan 1 dan 2 ke persamaan 3
½ cos θ. W = sin θ. μ W
Jawaban : C
- 2 N.m
- 4 N.m
- 6 N.m
- 8 N.m
- 10 N.m
PEMBAHASAN :
Diketahui:
FA = FC = 10 N
FB = 20 N
AB = BC = 20 cm
Arah putar benda
Menentukan besar momen gaya bidang terhadap titik A
Στ = τA + τB + τC
Στ = IAFA + IBFB + ICFC sin 30o
Στ = 0 − 0,2(20) − 0,4(10) sin 30o
Στ = − 6 N.m (tanda (-) menunjukkan arah putaran searah jarum jam)
Jawaban : C
Jika massa batang diabaikan dan panjang batang 4 m, maka nilai momen gaya terhadap sumbu putar di titik C adalah….
- 12 N.m
- 8 N.m
- 6 N.m
- 2 N.m
- Nol
PEMBAHASAN :
Diketahui:
F1 = 5 N
F2 = 0,4 N
F3 = 40 N
Arah putar benda untuk pusat di titik C
Menentukan besar momen gaya untuk pusat di titik C
Στ = τ1 + τ2 + τ3
Στ = I1F1 sin 53o + I2F2 + I3F3
Στ = 2(5 sin 53o) − 1(0,4) − 2(4,8)
Στ = − 2 N.m (tanda (-) menunjukkan arah putaran searah jarum jam)
Jawaban : D
PEMBAHASAN :
Untuk memudahkan kita bagi dua bidang
Bidang 1 = bidang segi empat tanpa lubang (garis ungu)
Bidang 2 = bidang segi empat berlubang (garis jingga)

Bidang I
x0 = 3 (titik berat benda pada sumbu x)
y0 = 4 (titik berat benda pada sumbu y)
Luas (A) = 6 x 8 = 48
Ax = A.x0 = 48 x 3 = 144
Ay = A.y0 = 48 x 4 = 192
Bidang II
x0 = 3 (titik berat benda pada sumbu x)
y0 = 5 (titik berat benda pada sumbu y)
Luas (A) = 2 x 6 = 12
Ax = A.x0 = 12 x 3 = 36
Ay = A.y0 = 12 x 5 = 60
Menentukan x0 dan y0 bidang yang diarsir
ΣAx = Ax I - Ax II = 144 - 36 = 108
ΣAy = Ay I - Ay II = 192 - 60 = 132
![]()
![]()
Jawaban : E

- (0 ; 20) cm
- (0 ; 20,5) cm
- (0 ; 25) cm
- (0 ; 35) cm
- (0 ; 50) cm
PEMBAHASAN :
Untuk memudahkan kita bagi dua bidang
Bidang 1 = bidang tabung
Bidang 2 = bidang kerucut

Bidang I (tabung)
x0 = 0 (titik berat benda pada sumbu x terhadap titik o)
y0 = ½.40 = 20 cm(titik berat benda pada sumbu y terhadap titik o)
Volume (V) = πR2t = π(10)240 = 4000π
Vx = V.x0 = 4000π x 0 = 0
Vy = V.y0 = 4000π x 20 = 80.000π
Bidang II (kerucut)
x0 = 0 (titik berat benda pada sumbu x terhadap titik o)
y0 = 40 + ¼.30 = 47,5 cm (titik berat benda pada sumbu y)
Volume (V) =
πR2t =
π(10)230 = 1000π
Vx = V.x0 = 1000π x 0 = 0
Vy = V.y0 = 1000π x 47,5 = 47.500π
Menentukan x0 dan y0 benda
ΣVx = Vx I + Vx II = 0 + 0 = 0
ΣVy = Vy I + Vy II = 80.000π + 47.500π = 127.500π
![]()
![]()
Jawaban : B
- 0,5 Nm
- 2 Nm
- 4 Nm
- 0,3 Nm
- 5 Nm
PEMBAHASAN :
Diketahui:
r = jari-jari cakram = 20 cm = 0,2 m
F = gaya Tarik pada tali = 10 N
Maka besar momen gaya pada cakram dapat dihitung sebagai berikut:
![]()

τ = r . F sin θ
= (0,2 m) . (10 N) . (sin 900)
= 0,2 m . 10 N . 1
= 2 Nm
Jawaban : B

- 1,5ma3
- 4a
- 3m
- 6ma2
- -5ma
PEMBAHASAN :
Diketahui:
Massa partikel 1 (m1) = 2m, posisi (a,0)
Massa partikel 2 (m2) = 3m, posisi (0,a)
Massa partikel 3 (m3) = 4m, posisi (-a,0)
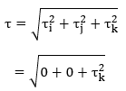
Sistem diputar terhadap sumbu y sehingga momen inersia pada sistem tersebut yaitu:
Iy = Σmi . ri2
= m1r12 + m2r22 + m3r32
= (2m)(a)2 + (3m)(0)2 + (4m)(-a)2
= 6ma2
Jawaban : D
- 2,5 kgm2
- 2 kgm2
- 5 kgm2
- 3,2 kgm2
- 3 kgm2
PEMBAHASAN :
Diketahui:
m (massa batang) = 3 kg
IP (momen inersia batang terhadap titik P = 10 kg.m2
d (Panjang) = PO = OB = ½l
Berlaku rumus sebagai berikut:
Momen inersia batang homogen terhadap pusat massa (I)
![]()
Sedangkan momen inersia batang homogen terhadap ujung (I)
![]()
Menghitung panjang batang sebagai berikut:
![]()

Maka momen inersia terhadap titik pusat O dapat dihitung sebagai berikut:
IP = Io + md2
Io = IP - md2
= (10 kgm2) - (3 kg)(½
)2
= (10 kgm2) - (3 kg)
kgm2
= (10 kgm2) - (7,5 kgm2)
= 2,5 kgm2
Jawaban : A

- 100 Nm
- 28 Nm
- 87 Nm
- 60 Nm
- 52 Nm
PEMBAHASAN :
Berlaku konsep sebagai berikut:
- Momen gaya positif jika arah putarannya searah jarum jam
- Momen gaya negatif jika arah putarannya berlawanan arah dengan arah jarum jam
Diketahui:
F1 = 8 N
F2 = 6 N
F3 = 3 N
F4 = 12 N
2 = 2 m
3 = 3 m
4 = 7 m
Dengan massa batang diabaikan, maka momen gaya terhadap titik P yaitu:
StP = (tQ + tS ) - tR
= (F2
2 + F4
4) - F3
3
= [(6 N x 2 m) + (12 N x 7 m) - (3 N x 3 m)]
= 12 Nm + 84 Nm - 9 Nm
= 87 Nm
Jawaban : C
- 1,5
- -7,5
- 7
- 5,3
- -5
PEMBAHASAN :
Diketahui:
Gaya ![]()
Lengan momen ![]()
τ = 30 Nm
Menghitung gaya yang dilakukan F terhadap titik porosnya sebagai berikut:

Maka nilai a dapat dihitung sebagai berikut:

30 = τk
30 = 15 - 2a
15 = - 2a
a = -7,5
Jawaban : B
- 7 x 10-3 Nm
- 6 x 10-2 Nm
- 8,5 x 10-3 Nm
- 8 x 10-3 Nm
- 10-5 Nm
PEMBAHASAN :
Diketahui:
I = 2 x 10-3 kg m2
ω0 = 6 rad/s
Δt = 1,5 sekon
Percepatan sudut pada benda selama berputar sampai berhenti (ω) = 0 sebagai berikut:
ω = ω0 + αΔt
0 = 6 rad/s + α(1,5 s)
α(1,5 s) = - 6 rad/s
α = - 4 rad/s2 → bernilai negatif karena benda mengalami perlambatan
Maka besar momen gaya dapat dihitung sebagai berikut:
τ = I . α
= 2 x 10-3 kg m2 . 4 rad/s2
= 8 x 10-3 Nm
Jawaban : D
- 1,6 x 10-8 kg m2/s
- 1,6 x 10-6 kg m2/s
- 1,6 x 10-10 kg m2/s
- 1,6 x 10-12 kg m2/s
- 1,6 x 10-4 kg m2/s
PEMBAHASAN :
Diketahui:
m = 0,5 gram = 5 x 10-4 kg
ω = 8 rad/s
r = 2 cm = 2 x 10-2 m
Maka momentum sudut partikel dapat dihitung sebagai berikut:
L = I . ω
= m.r2 .ω
= (5 x 10-4 kg).(2 x 10-2 m)2.( 8 rad/s)
= (5 x 10-4 kg).(4 x 10-4 m2).( 8 rad/s)
= 160 x 10-8 kg m2/s
= 1,6 x 10-6 kg m2/s
Jawaban : B
- 27 rad/s
- 25 rad/s
- 30 rad/s
- 32 rad/s
- 55 rad/s
PEMBAHASAN :
Diketahui:
I1 = 18 kgm2
ω1 = 30 rad/s
I2 = 2 kgm2
Berlaku hukum kekekalan momentum sudut, kedua cakram dihubungkan dengan sumbu yang sama dan berputar bersama-sama. Maka kecepatan sudut kedua dapat dihitung sebagai berikut:
Lawal = Lakhir
I1 . ω1 = (I1 + I2) . ω2
(18 kgm2). (30 rad/s) = (18 + 2) kgm2 . ω2
540 rad/s = 20 ω2
ω2 = 27 rad/s
Jawaban : A
w (putaran /s) | I (kg m2) | |
A. | 1 | 10 |
B. | 2 | 5,0 |
C. | 3 | 3,3 |
D. | 4 | 2,5 |
E. | 5 | 2,0 |
PEMBAHASAN :
Diketahui:
ω1 = 2,5 putaran/s = 2,5 x 2p rad/s = 5p rad/s
I1 = 4 kgm2
Berlaku hukum kekekalan momentum sudut pada saat kedua tangan penari dilipat menyilang dan berputar di lantai yang licin, sebagai berikut:
L1 = L2
I1 . ω1 = L2 . ω2
4 . 5p = L2 . ω2
L2 . ω2 = 20p … (i)
Kondisi tangan dilipat menyilang di dada, sehingga ω2 harus lebih besar dari ω1 sedangkan I2 harus lebih kecil dari I1.
Pada tabel di atas pasangan yang mungkin yaitu:
ω2 > ω1 , misalkan:
ω2 = 3 putaran/s
= 3 x 2p rad/s
= 6p rad/s … (ii)
Berdasarkan persamaan i dan ii diperoleh:
I2 . ω2 = 20p
I2 . 6p rad/s = 20p
I2 = 3,3 kgm2
Jawaban : C
PEMBAHASAN :
Diketahui:
Jari-jari = R = p
Kelajuan = v = s
Massa = m = a
Kecepatan sudut = ω = ![]()
Momen inersia = I = ½ . massa. jari-jari kuadrat = ½ . a . p2
Maka energi kinetik total untuk silinder pejal yang bergerak sambil berputar sebagai berikut:

Jawaban : E
- Menggelinding dengan percepatan g sin α
- Menggelinding dengan percepatan ½ g sin α
- Menggelinding dengan percepatan 3/2 g sin α
- Meluncur dengan percepatan ½ g sin α
- Meluncur dengan percepatan g sin α
PEMBAHASAN :
Diketahui:
I = ½ mr2
ω0 = 0
Bidang miring kasar tapi tidak slip
Sudut kemiringan = α
α = ![]()

Gerak translasi:
Tinjau sumbu y
ΣFy = 0
N - m g cos α = 0
Tinjau sumbu x
∑Fx = m a
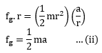
m g sin α - fg = m a … (i)
Gerak rotasi:
τ = I α
fg r = I α

Berdasarkan persamaan i dan ii diperoleh:
mg sin α - fg = ma
mg sin α - ½ ma = ma

Maka silinder pejal menggelinding menuruni bidang miring dengan percepatan ![]()
Jawaban : C
- 0,5 rad/s
- 2 rad/s
- 4 rad/s
- 6 rad/s
- 8 rad/s
PEMBAHASAN :

Diketahui:
m1 = 0,8 kg
r1 = 0,4 m
ω1 = 12 rad/s
m2 = 0,8 kg
r2 = 0,2 m
Berlaku hukum kekekalan momentum sudut karena piringan silinder dan cincin berputar bersama-sama sebagai berikut:
Lawal = Lakhir
Isilinder . ω1 = (Isilinder + Icincin) ω2
½ m1 r12 ω1 = (½ m1 r12 + m2 r22) ω2
½ x 0,8 x (0,4)2 x 12 = [ ½ x 0,8 x (0,4)2 + 0,8 x (0,2)2 ] x ω2
7,68 x 10-1 = [(6,4 x 10-2) + (3,2 x 10-2)] ω2
7,68 x 10-1 = (9,6 x 10-2)ω2
ω2 = 8 rad/s
Jawaban : E
PEMBAHASAN :

Diketahui:
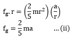
Bidang miring licin
Percepatan gravitasi = g
Momen inersia = I = ![]()
Gerak translasi:
w sin α - fg = ma
mg sin α - fg = ma … (i)
Gerak rotasi:
τ = I α
fg r = I α

Berdasarkan persamaan i dan ii diperoleh:
mg sin α - fg = ma
mg sin α -
ma = ma

Maka silinder pejal menggelinding menuruni bidang miring dengan percepatan ![]()
Jawaban : B

- 100 N
- 80 N
- 60 N
- 95 N
- 75 N
PEMBAHASAN :
PQ = 6 m
QX = 2m
Wb = 80 N
X = titik berat balok homogen
Jika sistem dalam keadaan setimbang, maka berlaku:
ΣτP = 0
WQ (PX) - WR (PQ) = 0
[(90 N)(6 m - 2 m) - WR(6 m)] = 0
360 - 6 WR = 0
WR = 60 N
Jawaban C

PEMBAHASAN :
Diketahui:
Panjang PQ = 10 m
Berat PQ = W = 120 N

PR = PQ cos 300 = 10 m x ![]()
QR = PQ sin 300 = 10 m x ½ = 5 m
Ketika batang dalam keadaan setimbang sebagai berikut:
- ΣFx = 0
NQ - fg = 0
NQ = fg - ΣFy = 0
NP - W = 0
NP = W = 120 N
Berdasarkan persamaan 1 dan 2 diperoleh:
- fg = NQ
μg NP = NQ

Ketika batang berada dalam kesetimbangan sebagai berikut:
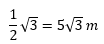
∑τP = 0
NQ (QR) - W( ½ PR) = 0
NQ (5 m) - 120 N (
) = 0
5NQ =

Maka koefisien gesek di P , perhatikan persamaan 3 dan 4 sebagai berikut:
![]()
Jawaban A
- Warna dan wujud
- Bentuk dan warna
- Bentuk dan volume
- Kecepatan dan volume
- Percepatan dan bentuk
PEMBAHASAN :
Benda tegar adalah benda yang tidak mengalami perubahan bentuk akibat pengaruh gaya, sehingga dalam melakukan pergerakan (translasi dan rotasi) benda tersebut tidak mengalami perubahan bentuk dan volume benda.
Jawaban : C
- Momen gaya
- Kopel
- Inersia
- Vektor
- Vektor gaya
PEMBAHASAN :
Pasangan dua gaya sejajar yang sama besar dan berlawanan arah disebut kopel. Sedangkan jumlah momen gaya dari masing-masing gaya disebut momen kopel.
Jawaban : B
- 0,08 kg.m2
- 0,06 kg.m2
- 0,1 kg.m2
- 0,12 kg.m2
- 1,06 kg.m2
PEMBAHASAN :
Diketahui:
m = 500 gram = 0,5 kg
r = 40 cm = 0,4 m
Maka momen inersia partikel dapat dihitung sebagai berikut:
I = m . r2
I = 0,5 .(0,4)2
I = 0,08 kg.m2
Jawaban : A
- 0,05 kg.m2
- 0,02 kg.m2
- 1,1 kg.m2
- 0,01 kg.m2
- 1,02 kg.m2
PEMBAHASAN :
Diketahui:
m = 0,8 kg
l = 0,4 m
Maka momen inersia silinder pejal dapat dihitung sebagai berikut:
I = 0,01 kg.m2
Jawaban : D
- 10 putaran/s
- 6 putaran/s
- 8 putaran/s
- 12 putaran/s
- 4 putaran/s
PEMBAHASAN :
Diketahui:
I = 6 kg.m2
I’ = 3 kg.m2
ω = 4 putaran/s
Maka kelajuan penari balet dapat dihitung sebagai berikut:
I . ω = I’ . ω’
ω’ = 8 putaran/s
Jawaban : C

Silahkan.klik link yang ada
Terima kasih sangat membantu min. Izin share min